µ¥½Ãº§(dB, ¼ÒÀ½°ú Áøµ¿ÀÇ Å©±â¸¦ Ç¥ÇöÇÏ´Â ¹æ¹ý)
ÀϹÝÀûÀ¸·Î ¼ÒÀ½, Áøµ¿, Àü±â µîÀÇ Å©±â¸¦ ³ªÅ¸³¾ ‹š 'dB(µ¥½Ãº§)'ÀÇ ´ÜÀ§¸¦ »ç¿ëÇÑ´Ù.
ÀÌ °ÍÀº ±âÁØ·®¿¡ ´ëÇÑ º¯ÈÆøÀ» ÀǹÌÇϱ⠶§¹®¿¡ °¨°¢°ú ´ëü·Î Àß ¸ÂÀ¸¹Ç·Î ¿©·¯ ºÐ¾ß¿¡¼ »ç¿ëµÈ´Ù.
¾ö¹ÐÈ÷ ¸»ÇÏÀÚ¸é dB´Â Á¤ÇØÁø ´ÜÀ§¶ó°í ÇÒ ¼ö ¾ø´Ù.
¿Ö³ÄÇÏ¸é ±âÁØÀ» ¾î¶»°Ô Á¤ÇÏ´À³Ä¿¡ µû¶ó ´Þ¶óÁö´Â °ªÀ̱⠋š¹®ÀÌ´Ù.
ºÎ¸£´Â °ªµµ Åë»óÀûÀ¸·Î´Â ¼ÒÀ½¿¡¼´Â 'µ¥½Ãº§(deci-Bell)', Áøµ¿À̳ª ´Ù¸¥ ºÐ¾ß¿¡¼´Â 'µðºñ'¶ó°í ºÎ¸£´Â °ÍÀÌ ÀϹÝÀûÀÌ´Ù.
'º§(Bell)'À̶ó´Â »ç¶÷ÀÇ À̸§À» µû¼ ºÎ¸£´Â ¸íĪÀº ´ÜÁö ¼ÒÀ½¸¸ÀÌ Àû´çÇÏ´Ù°í ¿©±â´Â °ÍÀÎÁö´Â Á¤È®ÇÏÁö ¾Ê´Ù.
Weber-FechnerÀÇ ¹ýÄ¢
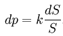
Àΰ£ÀÇ °¨°¢·®(P)ÀÇ º¯È´Â ±âÁØ Àڱط®(S)¿¡ ´ëÇÑ ±× º¯È·®ÀÇ ºñ·Î½á °¡Àå Àß Ç¥Çö ÇÒ ¼ö ÀÖ´Ù.




À§ÀÇ ½Ä¿¡¼ ±âº»´ÜÀ§´Â 'º§: Bell'·Î¼, ±× »óÇÏ ´Ü°è°¡ ³Ê¹« ÀÛÀº °ÍÀ» º¸¿ÏÇϱâ À§Çؼ, »ó¼öÀÎ 'K'¿¡ 10À» ´ëÀÔÇÑ
'dB: µ¥½Ãº§'À» »ç¿ëÇÏ°Ô µÇ¾ú´Ù. ÀÌ·¸°Ô ÇÏ¸é »óÇÏÆøÀ» ³ªÅ¸³¾ ¼ö Àִ ǥ±â°¡ ³Ð¾îÁ®¼ ÀνÄÇÏ±â ÆíÇÏ´Ù.
¾Æ¹«Æ° ¼À½°ú Áøµ¿Àº ÁÖ·Î Àΰ£°ú °ü·ÃµÇ¹Ç·Î ±× ´À³¢´Â ¾çÀÎ '°¨°¢·®ÀÇ º¯È'¸¦ ·¹º§È ÇÏ¿© ·Î±×ÀÇ ÇÔ¼ö·Î Ç¥ÇöÇÏ´Â °ÍÀÌ
°¡Àå ÀûÇÕÇϹǷΠ±× Å©±â¸¦ µ¥½Ãº§·Î Ç¥ÇöÇÏ°Ô µÈ °ÍÀÌ´Ù. À§ÀÇ ½Ä¿¡¼ º¯¼ö S¸¦ À½ÀÇ ¼¼±â(Intencity)·Î Çϸç, ÀÚÀ¯À½Àå(free sound field)ÀÎ °æ¿ì³×´Â
ÀÌ À½ÀÇ ¼¼±â´Â À½¾Ð(Pressure)ÀÇ Àڽ°ú ¸ÅĪµÈ´Ù. Áï ¿ì¸®°¡ ¼ÒÀ½°è·Î ÃøÁ¤ÇÏ´Â °á°ú°ªÀ¸·Î ¹ý±Ô¿¡ Àû¿ëÇÏ¿©
¸¹ÀÌ »ç¿ëÇÏ´Â À¸¹Ç¾Ð·¹º§(SPL : Sound Pressure Level)ÀÎ °æ¿ì¿¡´Â º¯¼ö S¸¦ À½¾ÐÀ¸·Î ÇßÀ» °æ¿ì K°ªÀ» 20À¸·Î ´ëÄ¡½ÃŲ °Í°ú °°´Ù.
ÀÌ dB´Â ´ÜÀ§ µÚ¿¡ °ýÈ£ ÷ÀÚ¸¦ ºÙ¿© Ãß°¡ ¿¬»êµÈ(°¡Áß; Weighted) ¹°¸®·®À» Ç¥ÇöÇÏ¿© ±¸ºÐÇϴµ¥,
dB(A), dB(C), dB(mV), dB(W), µîÀÌ ¼ÒÀ½Áøµ¿ºÐ¾ß¿Í Àü±âºÐ¾ß¿¡¼ ÁÖ·Î ¸¹ÀÌ »ç¿ëµÇ°í ÀÖ´Ù.
Logarithmic °ú LinierÀÇ Â÷ÀÌ
1°ú 100ÀÇ Â÷ÀÌ´Â 99 Áö¸¸ »ó¿ë·Î±×·Î ºñ±³ÇØ º»´Ù¸é 2ÀÌ´Ù. ¹°·Ð Å« °ª°ú ÀÛÀº °ªÀÇ Â÷À̰¡ Ä¿¾ß ±¸ºÐÇϱ⿡µµ ÁÁ°í
°è»êÇϱ⿡µµ ÁÁÀº °ÍÀÌ ¾Æ´Ò±î »ý°¢ÇÏÁö¸¸, ±×·¡ÇÁ·Î º¸¸é ¸íÈ®È÷ ±× È¿¿ëµµ¸¦ ¿¹ÃøÇÒ ¼ö ÀÖ´Ù.
ÃÖ°í·¹º§°ú ÃÖÀú·¹º§ÀÇ Â÷À̰¡ Å©Áö ¾Ê´Ù´Â ¸»Àº log ±×·¡ÇÁ¿¡¼´Â linier¿Í ´Þ¸® ³·Àº °ªÀÇ Á֯ļö ¼ººÐÀ» Àß º¸ÀÏ ¼ö ÀÖµµ·Ï ÇÑ´Ù´Â °ÍÀÌ´Ù.
±×·¡¼ Áøµ¿ ½ºÆåÆ®·³ ºÐ¼®¿¡¼ ÀÛÁö¸¸ Áß¿äÇÑ °ªÀÇ À¯¹«¸¦ Àß ÆÄ¾ÇÇÒ ¼ö ÀÖµµ·Ï ÇØÁØ´Ù. ƯÈ÷ ¼ÒÀ½ ¿ÁŸºê ºÐ¼®°ú Áøµ¿ÀÇ FRF¿¡¼´Â
Log·Î ºÐ¼®ÇÏ´Â °ÍÀÌ ÀϹÝÀûÀÌ´Ù.